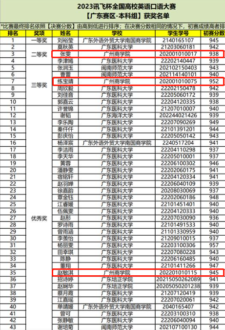
6月20日,2023“讯飞杯”全国高校英语口语大赛决赛落下帷幕,我院英语专业学子喜获佳绩,2020级张雯、练宝靖、赵敏淇分别获得广东赛区本科组二等奖、三等奖及优秀奖。
本次比赛以“强国有我·聚AI担当”为主题,分初赛和决赛两个阶段。大赛共吸引全国766所院校,超过24万学生参赛,分布在14个赛区,其中我校参赛选手120名。5月8日至5月14日,学生通过手机APP线上PK的方式参赛,经过练习与挑战后,可即刻获得A.I.智能评分,同时权威专家进行二次评分,根据排名进行选拔,全省前60名进入决赛。我校2020级英语专业学生练宝靖、张雯、赵敏淇脱颖而出,代表我校出征广东省决赛。决赛要求选手以The Power of Artificial Intelligence(人工智能的力量)为主题录制三分钟以内的演讲视频,并由大赛组委会专家组根据指定维度进行评分(百分制),60名入围选手中仅前十名可获得一二三等奖。suncitygroup太阳新城党总支书记徐超高度重视和支持本次比赛,suncitygroup太阳新城老师罗曼参入了校级选拔工作,指导教师张蕾对晋级选手的演讲稿进行多轮修改,从语音语调、录像方式及内容进行认真细致地指导。
本次比赛由中国英汉语比较研究会语音教学研究专业委员会指导、科大讯飞股份有限公司指导和主办,北京科大讯飞教育科技有限公司承办。为继承和发扬党的光荣传统,加强高校意识形态建设,丰富高校党建活动的形式,科大讯飞高教产品线特别策划主题赛事活动,积极响应教育部“教育数字化战略行动”,通过搭建“AI+口语”在线赛事平台,以人工智能技术赋能英语全新赛道,进一步丰富大学生英语学习途径,提升英语赛事的参与度,推动大学英语教学信息化建设与学习方式变革。
师生合影(从左到右:练宝靖,张雯,指导老师张蕾,赵敏淇)

